Contoh Soal Himpunan Elemen

Contoh soal himpunan elementary, contoh soal himpunan element, contoh soal himpunan elements, contoh soal himpunan elemental, contoh soal himpunan elemental knives, contoh soal himpunan dan pembahasannya, contoh soal himpunan penyelesaian, contoh soal himpunan bagian, contoh soal himpunan kuasa, contoh soal himpunan semesta, contoh soal himpunan kelas 7, contoh soal himpunan matematika ekonomi, contoh soal himpunan pasangan berurutan, contoh soal himpunan diagram venn, contoh soal himpunan pertidaksamaan, contoh soal psikotes, contoh soal cpns, contoh soal matematika, contoh soal sbmptn, contoh soal tpa, contoh soal psikotes dan jawabannya, contoh soal tes potensi akademik, contoh soal psikotest, contoh soal toefl, contoh soal integral,


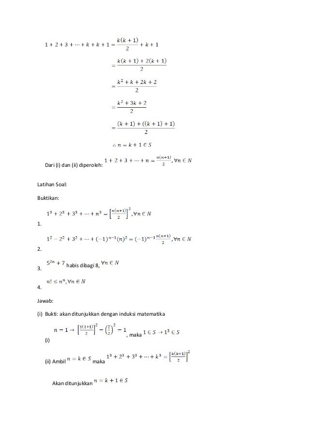
Makalah Erick Matematika Diskrit 2013 via www.slideshare.net
Makalah Erick matematika diskrit 2013

Contoh Presentasi Bahan Ajar Matematika via www.slideshare.net
Contoh presentasi bahan ajar matematika

Penyelesaian Sistem Persamaan Linear Dengan Matriks via contohdanpenyelesaianmatrix.blogspot.com
Penyelesaian Sistem Persamaan Linear dengan Matriks

Ppt Himpunan Kelompok 7 [tanpa Latihan Soal] via www.slideshare.net
Ppt himpunan kelompok 7 [tanpa latihan soal]

Contoh Soal Dan Pembahasan Subgrup via www.slideshare.net
Contoh soal dan pembahasan subgrup

Peluang – Yetti Arlita via yettiarlita.wordpress.com
PELUANG – Yetti Arlita

Matematika1bangrs via www.slideshare.net
Matematika1bangrs

Himpunan Matematika Pendaftaran Paytren via ilmukomunic.blogspot.com
HIMPUNAN MATEMATIKA  PENDAFTARAN PAYTREN

About Me: Tugas 9 – Diagram Venn Dan Bilangan via debbysriayulestari.blogspot.com
About me: TUGAS 9 – DIAGRAM VENN dan BILANGAN

Kumpulan Soal Matematika Smp Sriariani's Blog via sriariani.wordpress.com
Kumpulan soal matematika Smp  Sriariani's Blog

Peluang Suatu Kejadian via www.slideshare.net
Peluang suatu kejadian

Materi Teori Bilangan via es.slideshare.net
Materi teori bilangan

Cara Menentukan Invers Matriks 2 X 2 - Madematika via www.madematika.net
Cara Menentukan Invers Matriks 2 x 2 - madematika


Random Image



Related Posts To Contoh Soal Himpunan Elemen


Contoh Soal Himpunan Elemen Rating: 4.5 Posted by: Mastikunis

Search Here

Popular Posts

Total Pageviews

Recent Posts

Partners